根据2018年春运工作总体安排,制定2018春运集中办理学生往程票办法(不包括返程票)。
建议同学们自行购买火车票,12306官网以及各种第三方网站(比如去哪儿、携程等)方便快捷。但考虑到部分同学订票十分困难,学校提供统一订票服务。
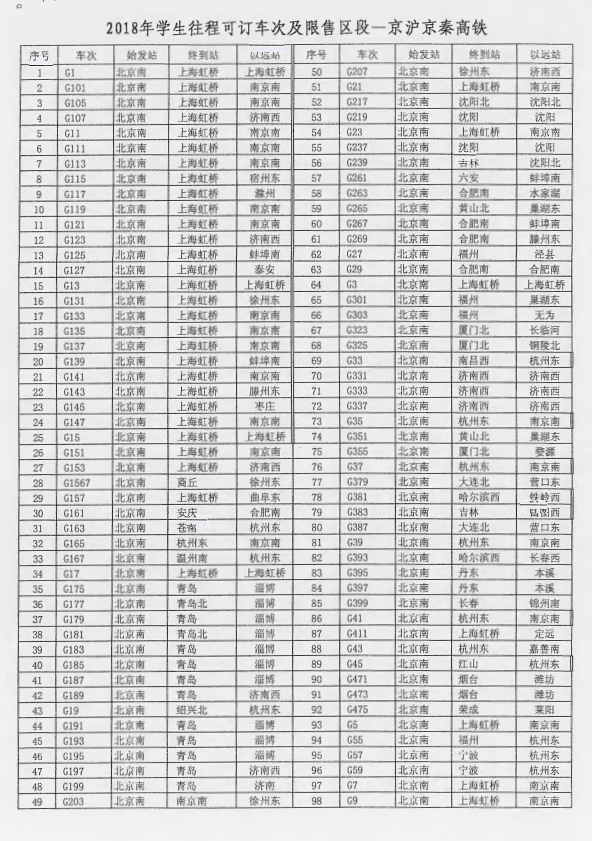
1.可定车票范围:北京站、北京西站、北京南站、昌平北站始发列车的学生火车票(硬座)、动车票(二等座),且为优先满足长途学生的需要,执行限售区段,仅办理限售站到终点站区间各站点(包含限售站),见下图。
2.可定车票时间:乘车日期为1月10日—31日,由于学生乘车较为集中,铁路将为同学们匹配车次或后延乘车日期。
3.配票结束后,学生自行在网站查结果。于12月28日到1月2日,可登录:www.12306.cn/stgweb,根据提示操作对订票结果进行查询。配票结果若符合需求,学生必须于2018年1月2日23:00前在车站或自动售票机等支付并取票,否则车票不予保留。若不符合学生需求,可以放弃取票。
请有需求的同学于12月25日20:00前填写连接https://jiandaoyun.com/f/5a3cc672e639472b235bcffd


